当前位置: 首页 > 投资理财 > 理财公告
电子银行系统
理财公告

丹东银行银杏理财系列产品净值报告

责编:管理员 日期:2026-01-08

【字号: |  |

尊敬的投资者:
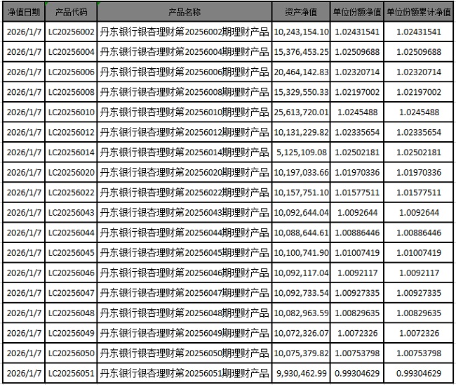
      我行发行的以下理财产品资产净值与份额净值如下: 

    注:以上净值仅供参考,不作为产品到期兑付金额计算依据,投资者获得的最终收益以我行实际支付为准。

 

                                       丹东银行股份有限公司
                                                  2026年1月8日